Empirical Formula Worksheet 1 : Chapter 8 Empirical Molecular Formulas Types Of Formulas - Empirical formula and combustion analysis worksheet.. This is a series of lectures in videos covering chemistry the following diagram gives the steps to calculate the empirical formula when given the mass percentages. Empirical formula and percent composition worksheet will help students understand the concept. What's the empirical formula of a molecule containing 65.5% carbon, 5.5% hydrogen, and 29.0% oxygen? How many cl's are there for each ca? To form iron (ii) sulphide, 56 g of iron combines with 32 g of sulphur.

4) the empirical formula of a compound is cr2(so4)3. Island of the blue dolphins worksheets free. Grade 3 4 math worksheets. 6) a compound with an empirical formula of c2oh4 and a molar mass of 88 grams per mole. Determine the empirical formula from the molecular formula

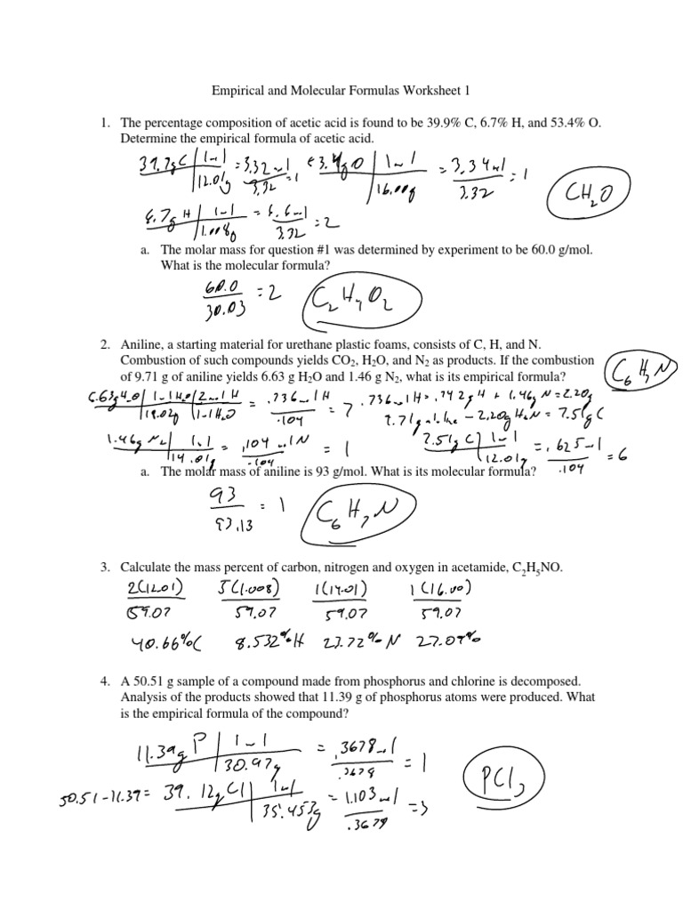
Empirical Molecular Formula Worksheet Page 1 Line 17qq Com
Empirical Molecular Formula Worksheet Page 1 Line 17qq Com from img.17qq.com
Chemistry · 1 decade ago. Worksheets are empirical and molecular formula work, empirical and molecular formulas work, , empirical formula work, empirical and molecular formula work, work 8 empirical formulas h o n o 4i, percent composition. Molecular formula 4) empirical formula of a substance is ch2o. 1.84 g of hydrocarbon y burns to give 6.16g of carbon. Empirical formula and percent composition worksheet will help students understand the concept. 6) a compound with an empirical formula of c2oh4 and a molar mass of 88 grams per mole. Use this example to complete the worksheet and do your homework. What is the molecular formula of this compound?

A compound is 24.7% calcium, 1.2 write the empirical formula and name the compound.

Start studying empirical formula worksheet. View, download and print empirical and molecular ula worksheet pdf template or form online. Anonymous asked in science & mathematics. Find the empirical formula and name for each of the following. A compound is 24.7% calcium, 1.2 write the empirical formula and name the compound. Find the empirical formula and name for each of the following. Learn vocabulary, terms and more with flashcards, games and other study tools. 7) a compound with an empirical formula of c4h4o and a molar mass of 136 grams. 6) a compound with an empirical formula of c2oh4 and a molar mass of 88 grams per mole. Problems that involve percentages, mass or moles of elements: What is the molecular formula of this compound? Answers have also been provided. What is the empirical formula of a compound containing 60.0% sulfur and 40.0% oxygen by mass?

Find the empirical formula and name for each of the following. Answers have also been provided. 7) a compound with an empirical formula of c4h4o and a molar mass of 136 grams. Find the empirical formula for a compound which contains 32.8% chromium and 67.2% chlorine. What is the molecular formula of this compound?

Copy Of Empirical Formulas Ws Empirical Formula Ws 1 One Of The Substances In A New Alkaline Battery Is Composed Of 63 0 Manganese And 37 0 Oxygen By Course Hero
Copy Of Empirical Formulas Ws Empirical Formula Ws 1 One Of The Substances In A New Alkaline Battery Is Composed Of 63 0 Manganese And 37 0 Oxygen By Course Hero from www.coursehero.com
Use this example to complete the worksheet and do your homework. Empirical and molecular formula worksheet. Write the empirical formula for the following compounds. The characteristic odor of pineapple is due to ethyl butyrate, an organic compound which contains only carbon, hydrogen and oxygen. Some of the worksheets displayed are empirical formula work, empirical and molecular formula work, , empirical and molecular formulas work, work 8 empirical formulas h o n o 4i, the empirical formula of a compound is also called the, percent composition and molecular formula work. It is a whole number multiple of the empirical formula. Please share your thought with us and our readers at comment box at the end of the page, also, don't forget to broadcast. 4) the empirical formula of a compound is cr2(so4)3.

The relationship between a compound's empirical and molecular formula can be written as

Empirical and molecular formula worksheet. What is the empirical formula for a compound which contains 0.0134 g of iron, 0.00769 g of sulfur and 0.0115 g of oxygen? Find the empirical formula for a compound which contains 32.8% chromium and 67.2% chlorine. Grade 3 4 math worksheets. 7) a compound with an empirical formula of c4h4o and a molar mass of 136 grams. 4) the empirical formula of a compound is cr2(so4)3. A substance is 36.1% by weight calcium and 63.9% chlorine. Write the empirical formula for the following compounds. Anonymous asked in science & mathematics. Write the empirical formula for each chemical formula shown below. Formulas work, , empirical formula work, empirical and molecular formula work, work 8 empirical formulas h o n o 4i, percent composition and molecular formula work, the empirical formula of a compound is also. A compound is 24.7% calcium, 1.2 write the empirical formula and name the compound. Problems that involve percentages, mass or moles of elements:

C2 3 3 quantitative chemistry empirical formula worksheet 593445 chemical formulas and pounds determining chemical formulas empirical formula worksheet 418314. A compound is 24.7% calcium, 1.2 write the empirical formula and name the compound. We hope these empirical formula worksheet with answers images collection can be a guidance for you, deliver you more references and most important: This is a series of lectures in videos covering chemistry the following diagram gives the steps to calculate the empirical formula when given the mass percentages. What is the molecular formula of this compound?

Hn Hw Empirical And Molecular Formulas Interactive Worksheet By Joyce Hong Wizer Me
Hn Hw Empirical And Molecular Formulas Interactive Worksheet By Joyce Hong Wizer Me from dynamic.wizer.me
View, download and print empirical and molecular ula worksheet pdf template or form online. What is the molecular formula of this compound? If the molar mass of the compound in problem 1 is 110 grams/mole, what's the molecular formula? 6) a compound with an empirical formula of c2oh4 and a molar mass of 88 grams per mole. 1.84 g of hydrocarbon y burns to give 6.16g of carbon. A compound is 21.20% nitrogen, 6.06% hydrogen, 24.30% sulfur, and 48.45% oxygen. The characteristic odor of pineapple is due to ethyl butyrate, an organic compound which contains only carbon, hydrogen and oxygen. Worksheets are empirical and molecular formula work, empirical and molecular formulas work, , empirical formula work, empirical and molecular formula work, work 8 empirical formulas h o n o 4i, percent composition.

6) a compound with an empirical formula of c2oh4 and a molar mass of 88 grams per mole.

A compound is 24.7% calcium, 1.2 some of the worksheets for this concept are , empirical molecular formulas student notes, empirical formula work, work 8 empirical formulas. Show work on a separate sheet of paper. This practice exam tests finding empirical formulas of chemical compounds. Formulas given the percent compositions or masses. Show your work for the calculation of empirical formula here. Present you a great day. What is the empirical formula of this molecule? Find the empirical formula and name for each of the following. Determine the empirical formula from the molecular formula 4) the empirical formula of a compound is cr2(so4)3. What is the empirical formula for a compound which contains 0.0134 g of iron, 0.00769 g of sulfur and 0.0115 g of oxygen? Please share your thought with us and our readers at comment box at the end of the page, also, don't forget to broadcast. The characteristic odor of pineapple is due to ethyl butyrate, an organic compound which contains only carbon, hydrogen and oxygen.

By