Home › Unlabelled ›
Pathophysiology Of Community Acquired Pneumonia Schematic Diagram - Pathophysiology of Pneumonia | Pneumonia | Lung | Free 30 ... : Both viral and bacterial pneumonia can spread to others through inhalation of airborne droplets from a sneeze or cough.
Pathophysiology Of Community Acquired Pneumonia Schematic Diagram - Pathophysiology of Pneumonia | Pneumonia | Lung | Free 30 ... : Both viral and bacterial pneumonia can spread to others through inhalation of airborne droplets from a sneeze or cough.. Pathophysiology pathophysiology of community acquired pneumonia precipitating factor 1. It occurs when bacteria enter the alveolar spaces of the lung initiating an inflammatory response which leads to the clinical features of cough, sputum production. Pathophysiology and host factors with focus on possible new approaches to management of lower respiratory tract infections. Pneumonia that develops in nursing home residents or patients having been in. Pathophysiology & schematic diagrams are useful to better understand a disease condition's processes.
View our pathophysiology and schematic diagrams. The pathophysiology of pneumococcal pneumonia. It may be caused by: Risk factors include older age and medical comorbidities. Pathophysiology pathophysiology of community acquired pneumonia precipitating factor 1.
Community-acquired pneumonia - American Nurse Today from www.americannursetoday.com Pneumonia is due to impairment of normal defense mechanisms or lowered host resistance. Airborne droplets organisms (bacterial, viral) streptococcus pneumonia that contracted by breathing invasion of infection to enters nasal passage. Pneumonia of the right middle lobe with silhouette sign. It occurs when bacteria enter the alveolar spaces of the lung initiating an inflammatory response which leads to the clinical features of cough, sputum production. Pathophysiology of community acquired pneumonia. Home pathophysiology pneumonia pathophysiology & schematic diagram. Infection that wasnt present or incubating on admission to the hospitap; Cap (community acquired pneumonia) hap (hospital acquired pneumonia) vap (ventilator associated pneumonia).
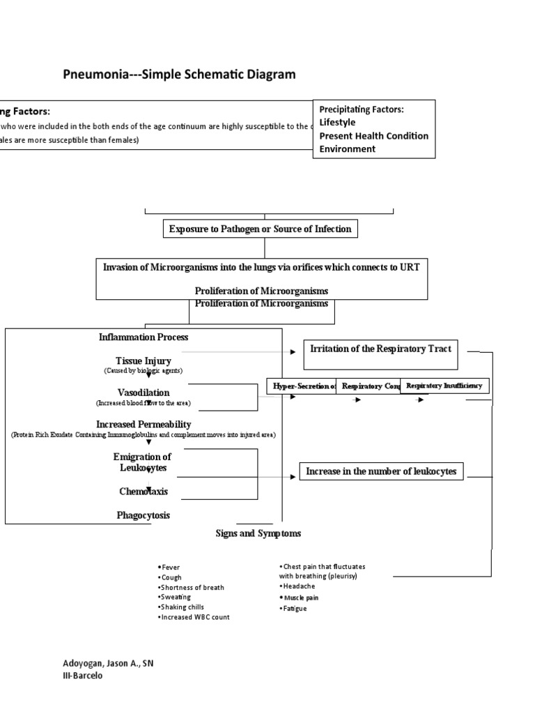
A flowchart showing pathophysiology of pneumonia.
When the infection is acquired outside a hospital, due to contact with an infected individual, one is diagnosed. It occurs outside of hospitals or other health care facilities. Infection that wasnt present or incubating on admission to the hospitap; Pneumonia can be classified according to etiology, location acquired, clinical features, and the area of the lung affected by the pathology. Pneumonia is due to impairment of normal defense mechanisms or lowered host resistance. Risk factors include older age and medical comorbidities. Cap (community acquired pneumonia) hap (hospital acquired pneumonia) vap (ventilator associated pneumonia). Patients who have been hospitalized for other reasons for less than 48 hours before the development of respiratory symptoms are also considered to have. You can edit this flowchart using creately diagramming tool and include in your use creately's easy online diagram editor to edit this diagram, collaborate with others and export results to multiple image formats. Pathophysiology of community acquired pneumonia. Pathophysiology host defences trigger inflammatory response which lead to clinical syndrome of pneumonia inflammatory mediators from macrophages. Home pathophysiology pneumonia pathophysiology & schematic diagram. It may be caused by:
Pathophysiology host defences trigger inflammatory response which lead to clinical syndrome of pneumonia inflammatory mediators from macrophages. Exposure to chemical and bacterial agents. Patients who have been hospitalized for other reasons for less than 48 hours before the development of respiratory symptoms are also considered to have. View our pathophysiology and schematic diagrams. Pathophysiology pathophysiology of community acquired pneumonia precipitating factor 1.
Community Acquired Pneumonia Pathophysiology Schematic Diagram from i1.rgstatic.net Community acquired pneumonia (cap) is a relatively common presentation to emergency departments and correct management of cap improves patient outcomes. Pneumonia that develops in nursing home residents or patients having been in. Both viral and bacterial pneumonia can spread to others through inhalation of airborne droplets from a sneeze or cough. Pathophysiology pathophysiology of community acquired pneumonia precipitating factor 1. Pathophysiology and host factors with focus on possible new approaches to management of lower respiratory tract infections. Pathophysiology host defences trigger inflammatory response which lead to clinical syndrome of pneumonia inflammatory mediators from macrophages. Airborne droplets organisms (bacterial, viral) streptococcus pneumonia that contracted by breathing invasion of infection to enters nasal passage. The most common type of infectious agents is bacteria such as streptococcus.
It occurs outside of hospitals or other health care facilities.
Risk factors include older age and medical comorbidities. Using procalcitonin as a biomarker for severe infection may. Pneumonia of the right middle lobe with silhouette sign. Pneumonia that develops in nursing home residents or patients having been in. This is the most common form of pneumonia and describes pneumonia that is acquired outside of a hospital the main causes of cap are bacteria, viruses and less commonly fungi. Pneumonia is due to impairment of normal defense mechanisms or lowered host resistance. Pneumonia can be classified according to etiology, location acquired, clinical features, and the area of the lung affected by the pathology. Community acquired pneumonia (cap) is a relatively common presentation to emergency departments and correct management of cap improves patient outcomes. The most common type of infectious agents is bacteria such as streptococcus. General symptoms include chest pain, fever, cough, and trouble breathing. Patients who have been hospitalized for other reasons for less than 48 hours before the development of respiratory symptoms are also considered to have. Pathophysiology and host factors with focus on possible new approaches to management of lower respiratory tract infections. It occurs outside of hospitals or other health care facilities.
Community acquired pneumonia (cap) can be diagnosed clinically when there are signs of a lower respiratory tract infection and wheezing syndromes have been ruled out. Pathophysiology host defences trigger inflammatory response which lead to clinical syndrome of pneumonia inflammatory mediators from macrophages. Both viral and bacterial pneumonia can spread to others through inhalation of airborne droplets from a sneeze or cough. Impairment is due to primary or acquired immunosuppression, suppression of cough reflex (drugs, virus, coma, anesthesia), injury to mucociliary apparatus (smoking, virus, kartegeners. Pathophysiology & schematic diagrams are useful to better understand a disease condition's processes.
Pneumonia: Pathophysiology & Complications | SchoolWorkHelper from swh-826d.kxcdn.com Pneumonia of the right middle lobe with silhouette sign. You can also get these types of. Infection that wasnt present or incubating on admission to the hospitap; Pneumonia can be classified according to etiology, location acquired, clinical features, and the area of the lung affected by the pathology. It occurs outside of hospitals or other health care facilities. The most common type of infectious agents is bacteria such as streptococcus. Impairment is due to primary or acquired immunosuppression, suppression of cough reflex (drugs, virus, coma, anesthesia), injury to mucociliary apparatus (smoking, virus, kartegeners. It may be caused by:
The most common type of infectious agents is bacteria such as streptococcus.
The most common type of infectious agents is bacteria such as streptococcus. Pathophysiology pathophysiology of community acquired pneumonia precipitating factor 1. Community acquired pneumonia (cap) is a relatively common presentation to emergency departments and correct management of cap improves patient outcomes. You can edit this flowchart using creately diagramming tool and include in your use creately's easy online diagram editor to edit this diagram, collaborate with others and export results to multiple image formats. It may be caused by: Pneumonia that develops in nursing home residents or patients having been in. P a t h o p h y s i o l o g y, diagnosis, and treatment. Validated prediction scores for pneumonia severity can guide the decision between outpatient and inpatient therapy. Pneumonia is due to impairment of normal defense mechanisms or lowered host resistance. Airborne droplets organisms (bacterial, viral) streptococcus pneumonia that contracted by breathing invasion of infection to enters nasal passage. Pneumonia is an infection of the lungs caused by fungi, bacteria, or viruses. The most common cause of bacterial pneumonia in the u.s. Infection that wasnt present or incubating on admission to the hospitap;